Robust Trajectory Tracking for Quadrotor using Sliding Mode Control

Picture
The Crazyflie 2.0 quadcopter

Description

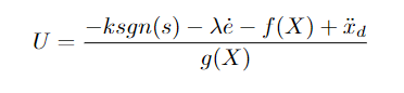
Traditional sliding mode controllers for SISO systems can rely on a general control method for control affine systems.
A control law is derived, different from the general form, that would allow for a lower control input, faster convergence, and more intuitive way to ensure robustness using an appropriate sigmoid function, Sg.

This was simulated in ROS (Gazebo) using a crazyflie 2.0 quadrotor with the desired upwards thrust determined using the modified control law.

Results


Force differential control input
The control input (N) difference between the traditional control input and the modified control law.
Trajectory followed quadrotor
Trajectory followed (desired trajectory — green, actual trajectory — blue).It is never less than 0. The modified control law always results in an input less than the traditional control law.